본문 바로가기
주메뉴 바로가기
HOME
데이터 분석 현황
데이터 분포 현황
데이터 입력 및 관리
게시판
로그인
회원가입
데이터 분석 현황
사과
감귤
배
복숭아
포도
감
수령에 따른 ha 당 탄소축적량 추정식
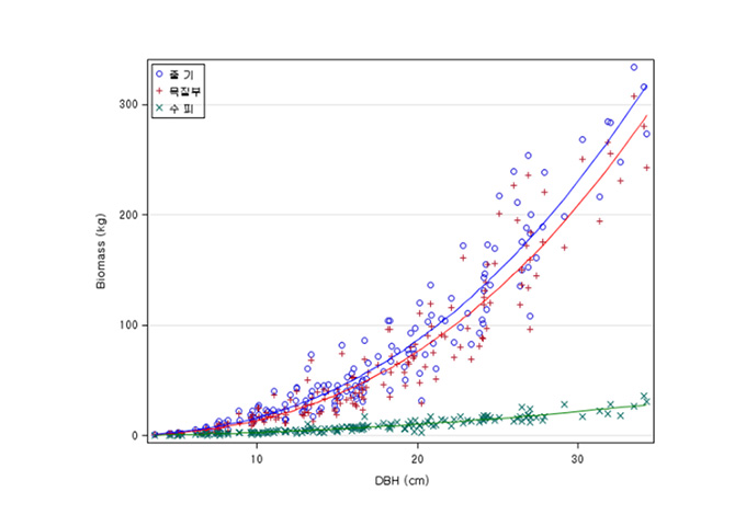
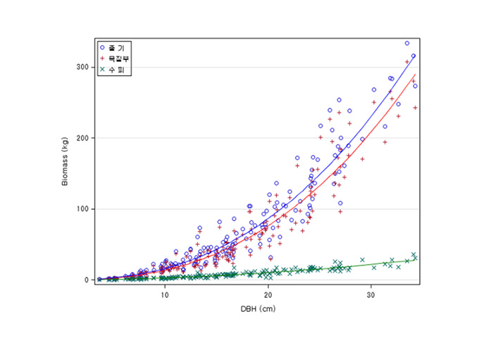
주간 직경에 따른 바이오매스 추정식
* 자료 수정 및 다운로드 권한은 관리자에게 문의 바랍니다.
TOP